📌 Norm
벡터의 크기를 측정하는 방법
두 벡터 사이의 거리를 측정하는 방법

📌 L1 Norm
Norm 식에서 p가 1인 Norm으로 벡터의 요소에 대한 절댓값의 합
Manhattan(맨허튼) norm이라고도 한다.
L2보다 outlier(이상치)에 robust(덜 민감)하다.



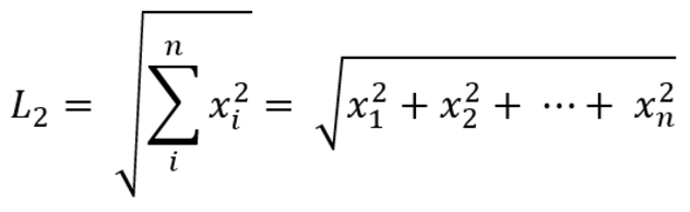
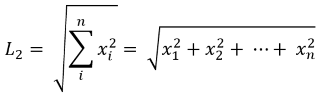
📌 L2 Norm
Norm 식에서 p가 2인 Norm으로 피타고라스 정리를 활용했다.
Euclidean(유클리드) norm이라고도 한다.
제곱의 형태이기 때문에 outlier(이상치)에 예민하나 더욱 일반화된 모델을 생성한다.


📌 L1 Norm, L2 Norm 비교

L1은 초록색 외의 선들로 여러가지 path를 가지지만
L2는 초록색 선으로 unique shortest path를 가진다.
Loss도 Norm과 유사하게 계산된다.
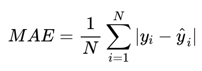
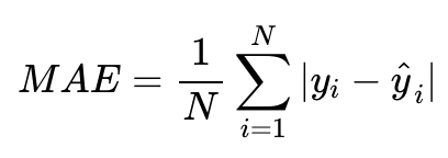
📌 L1 Loss
MAE(Mean Absolute Error)로, 실제값과 예측값 오차의 절댓값 합

따라서 L1 Loss가 L2 Loss보다 outlier(이상치)에 좀 더 robust(덜 민감)하다.
📌 L2 Loss
MSE(Mean Squared Error)로, 실제값과 예측값 오차의 제곱의 합

L1 Loss와 반대로 상황에 따라 outlier가 중요하다면 L2 Loss를 사용하는 것이 좋다.
참고 :
https://hwanii-with.tistory.com/58
'Deep Learning' 카테고리의 다른 글
| Preicision, Recall, F1-Score, Sensitivity, PR Curve, ROC Curve, AUPR, AUROC, Confusion Matrix (0) | 2024.12.17 |
|---|---|
| Discriminative Learning, Generative Learning이란? (0) | 2024.12.16 |
| Entropy, Cross entropy loss란? (0) | 2024.04.28 |
| [밑바닥부터시작하는딥러닝2] Chapter 8. 어텐션 (0) | 2024.04.23 |
| [밑바닥부터시작하는딥러닝2] Chapter 7. RNN을 사용한 문장 생성 (0) | 2024.04.22 |